L'organisation par blocs

Dans notre modèle $ V_A=2$ et $ V_B=0$ , nous fixons à partir d'une position donnée une série d'atomes identiques A (respectivement B) en forçant le critère énergétique. Le système, laissé libre de s'organiser par lui même, replace son niveau de Fermi dans le gap en fixant des atomes B (respectivement A), de façon à ce qu'il y ait exactement autant d'atomes A que d'atomes B. Ceci nous fait penser à regarder s'il existe une organisation par blocs. En effet, les chaînes s'organisent pour tout $ \delta $ (même lorsque $ \delta=0$ ce qui prouve que c'est un effet purement électronique) en blocs de deux atomes AB ou BA, ce qui revient, comme nous l'avons vu précédemment, à positionner le niveau de Fermi juste sous le gap. La perturbation apportée à notre système est relaxée de façon à conserver cette neutralité. Donc après 10 atomes A, notre système se relaxe en ajoutant 10 ou 11 atomes B (10 si le système repart avec un bloc AB et 11 s'il repart avec un bloc BA). Donc nous remarquons qu'une bonne façon de caractériser notre système est, du fait de la neutralité par blocs, de repérer les retournements de blocs. Par retournement de blocs nous entendons un passage de ABABAB à BABABA. Nous pourrons donc caractériser la chaîne par les positions où nous obtenons un passage AA ou un passage BB, trahissant un retournement de bloc. Nous pouvons réécrire notre chaîne où nous avions posé dans notre programme, pour la position $ n$ , la valeur $ U_n = 0$ pour les atomes B et $ U_n=1$ pour les atomes A (attention U représente A ou B et n'a pas d'autre signification que le type de l'atome). En créant une nouvelle chaîne telle que $ S_n=U_{2n} +U_{2n+1}$ , pour mettre les atomes par deux, nous obtenons une chaîne uniquement constituée de '1' ce qui vérifie la neutralité par blocs. De même si nous créons une chaîne telle que $ S_n=U_{2n+1} + U_{2n+2}$ nous obtenons de la même façon une chaîne constituée de '1' sauf aux moments des retournements de blocs de type $ AB \rightarrow BA$ et nous obtiendrons un '2' lors d'un retournement $ BA \rightarrow AB$ .

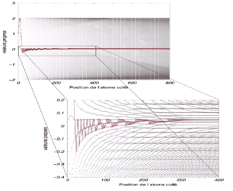
De cette façon nous remarquons que les retournements par blocs sont de moins en moins fréquents au fur et à mesure que nous nous éloignons de la perturbation. Nous pouvons le voir sur un diagramme identique à celui de la figure 3.3. En commençant par fixer arbitrairement 10 atomes A, nous créons des niveaux occupés et le niveau de Fermi monte pour chaque nouveau niveau dans le diagramme (Fig 3.4). Nous pouvons le voir sur la figure, le niveau de fermi se replace spontanément sur les niveaux du centre par une auto-organisation de la chaîne en AAAAAAAAAABBBBBBBBBB. Nous pouvons donc voir le niveau de Fermi (en rouge) redescendre jusqu'au vingtième atome collé. Nous voyons ensuite le système s'organiser en une alternance de séquences ABABABABA et BABABABAB de plus en plus longues. La perturbation initiale n'a plus d'effet sur les atomes collés suffisamment loin. Le programme ne crée plus de retournement de blocs après une certaine longueur de chaîne. Nous remarquons aussi que la perturbation perd son effet d'autant plus vite que l'intégrale de saut '$ t$ ' est petite en traçant les mêmes diagrammes pour des valeurs différentes.

Figure 3.4: Les retournements de blocs sont de moins en moins fréquents lorsque nous nous éloignons de la perturbation initiale (germe de croissance AAAAAAAAAA)
\resizebox{180mm}{!}{\includegraphics{linear/organisation.eps}}

Ainsi, nous remarquons que pour une longueur de chaîne de plus en plus élevée, nous perdons l'information d'un retournement de blocs avec la distance à celui-ci. Nous remarquons en effet qu'un système initialement contraint perd l'effet de cette contrainte au fur et à mesure de la croissance [52,53]. Nous pouvons donc déduire que, dans le plasma, la croissance de nos agrégats ne sera pas influencée par le germe initial. Nous verrons en effet cet effet par la suite lors de notre étude de la dynamique moléculaire du chapitre 4.